next curve previous curve 2D curves 3D curves surfaces fractals polyhedra

ENVELOPE OF A FAMILY OF 3D CURVES


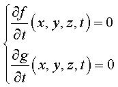
If (Gt) is given by (1): , the envelope exists if and only if the system of 4 equations with 3 unknowns resulting from (1) and (2):  has a solution for (x, y, z) for all values of t. This solution gives the parametrization of the envelope.
 

If (Gt) is parametrically defined by (M(t,u))u, the value, in function of t, of the parameter u of the characteristic point is obtained by solving (the condition of existence of the envelope being the indetermination of this system of 3 equations and two unknowns).

The envelope of a family of curves with one parameter is the locus (G) of the characteristic points of the curves Gt, limit points when t' goes to t of the intersection points between (Gt) and (Gt'); these points only exist if the curve (Gt) is secant with the infinitely close curves (Gt+dt); (G) is then tangent at each of its points to a curve (Gt) and, in general, any curve Gt is tangent at at least one point to (G).

When the curves (Gt) are straight lines, the envelope exists if and only if the ruled surface generated by the (Gt) is developable and the envelope is the cuspidal edge of this developable surface.

See also the envelopes of surfaces.
 
next curve previous curve 2D curves 3D curves surfaces fractals polyhedra

© Robert FERRÉOL 2018