next curve previous curve 2D curves 3D curves surfaces fractals polyhedra

HELIX OF THE ONE-SHEETED HYPERBOLOID OF REVOLUTION


Curve studied by Blaschke in 1908 [Mh. Math. Phys. 19, p. 194]
See also [Loria 3d] p. 160.

 
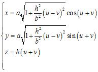
Cartesian parametrization:  traced on the hyperboloid , with .
When , we get the line x = a, by = az.
Polar equation of the projection on xOy.

Here, we consider the helix of the one-sheeted hyperboloid of revolution with vertical axis, a curve with constant slope  with respect to a horizontal plane.
 
View of the 3 kinds of helices:
  - in red for a slope < b/a, the helix goes to infinity
  - in blue, the line with slope b/a.
  - in green for a slope > b/a; the curve has a form of bound
(its projection on xOy cannot cross the circle with radius ).

Be careful, if the cylindrical helix is indeed the intersection between a right helicoid and a cylinder, this method does not yield the helix of the one-sheeted hyperboloid, but the following curve, that does not have a name:
Intersection between the helicoid  and the hyperboloid .
Cartesian parametrization:; the figure opposite was traced thanks to the parametrization  for which the coordinate lines are the curves under examination here.
Lift on the hyperboloid of the spiral , which is asymptotic to the Archimedean spiral .

 
View of the construction of these curves (by Robert March).

Buffon's gloriette in the Jardin des Plantes in Paris...


...made by Alain Esculier.

 


Picture: Remy Couderc


next curve previous curve 2D curves 3D curves surfaces fractals polyhedra

© Robert FERRÉOL  2018