next curve previous curve 2D curves 3D curves surfaces fractals polyhedra

RECTANGULAR BILLIARD KNOT AND LINK


The " (6,2) "


Studied by Jones and Przytycki in 1998.
Links:
undergraduate research work on billiard trajectories
Constructing the (5,3) by hand!
Images made by Alain Esculier.

A rectangular billiard knot is the knot obtained from the closed trajectory of a ball on a billiard with rectangular edge, by modifying the crossing points in alternate above/below passages.
 
If the dimensions of the billiard are L,L' and the ball starts rolling from a side with length L (and not in the corner) following a trajectory forming a slope a with respect to this side, then the trajectory is closed iff the ratio L/L' over a is a rational number p/q (with p and q coprime).
In this case, the ball bounces p times on the sides with length L and q times on the sides with length L'.
All in all, there are  crossings.

Here p = 5 and q =3; 5 bounces for each horizontal side, 3 for each vertical side,
5.2+4.3 = 22 crossings.

Except the cases for which they start at a corner, the curves have the same topology, and therefore yield a unique knot, that we call of type (p, q).
Up to a scaling, we can suppose
    - that the billiard is a square (and the slope is equal to p/q),
    - or that L/L'=p/q, in which case the slope is equal to one (the crossings form right angles).
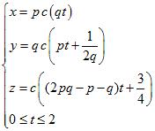
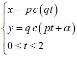
The billiard knot of type (p,q) can also be obtained from the planar Lissajous curve.
Indeed, if c is an even, continuous function decreasing on  and such that c(0)=1 and , then the curve  gives, for , a billiard knot of type (p,q) (p > q) inscribed in a rectangle with sides p and q (for , we arrive at the corners).
For , we get a Lissajous curve, and for , a billiard trajectory.
For , the bounces are evenly spaced on the sides.

case p = 4, q = 3
The above/below alternation can be obtained by a 3D Lissajous curve, or, which is equivalent, by the trajectory of a ball (not subject to gravitation) in a parallelepipedic billiard.
Equation with the above notations: .
See at Lissajous knot.

Examples:
 
q = 1: the knot is trivial p = 3, q = 2: we get the fourth prime knot with 7 crossings. p = 4, q = 3, prime knot with 17 crossings. p = 5, q = 3
Artistic productions: Buddhist, Islamic, Celtic, Roman, or maritime art!
This "endless knot", Buddhist symbol, that can be found in a lot a places, is equivalent to the above rectangular billiard knot (3,2) (the two loops on top and at the bottom are superfluous).
Picture taken in Kathmandu: B. Ferreol.

Image taken from the very interesting blog Nico-matelotage.

Celtic knot

Variations and generalizations:

1) For p and q non coprime, if we trace all the trajectories with p evenly spaced bounces on two opposite sides, and q bounces on the two other sides, then we get a link with gcd(p,q) components.

Examples:
p = 2, q = 2: we get Solomon's knot, the simplest non trivial link p = 3, q = 3: link with 12 crossings and 3 components, indexed by 12x-3-79 in knotilus. Sometimes called triple Solomon knot. p = 4, q = 2: link with 10 crossings and 2 components, indexed by 101 in knot-atlas. p = 4, q = 4.
Quadruple Solomon knot.
p = 8, q = 8


Roman mosaic

Islamic link (Marrakech)

Mongolian pattern, that can be found as a decoration in yurts

Roman mosaic (villa casale)

 
The graph of the Turk's head of type (p,q) (coprime or not) is a rectangular grid of p–1 times q–1 squares; opposite, the case (5,3).

2) We can also consider the curves obtained when the ball starts from a corner. In this case, the curve is open, but can be closed in various ways; and we can superimpose several curves.

Examples in the case (3,2):
Closing only one open curve creates a trivial knot, but the superimposition of two open curves is interesting.
It is the Carrick bend which leads, after closing, either to the 18th prime knot with 8 crossings : 8.1.18, or to the 7th prime link with 8 crossings and two loops: 8.2.7.
 

Knot 8.1.18

Celtic knot 8.2.7

Examples in the case (4,3):
 
If the curve is closed, we get the trefoil knot. If two open curves are superimposed and the different blades connected, we get a knot with 18 crossings indexed by 18x-1-230179 in knotilus; it is used in the fabrication of doomarts. If the identical blades are connected, we get a link with 18 crossings indexed by 18x-2 - 410219 in knotilus.
Concrete production?

Example in the case (7,3): 
 
Example in the case (1,1); closing gives the Whitehead link. Example in the case (3,3): 

3)  We can also consider non alternate above/below crossings.

We get knots for which the minimal crossing number is less than the number of crossings of the curve.
 
Above, two crossings can be unfolded (top-right): we get the knot 5.1.2. Here, 4 crossings can be unfolded, we get the trefoil knot. This knot was obtained by following the billiard ball with a passage below when we cross a previous line. Therefore, we can unfold starting from the end. Since this works every time, there always exists a configuration yielding the trivial knot.

4) The rectangular billiard can be replaced by a convex polygonal billiard.
With any type of crossings, we can get all the possible knots, even by only considering billiards the edge of which is a regular polygon. Indeed, every knot has a projection that is a crossed regular polygon. See also the polygram knots.
 
 
With a triangular billiard, for example, we get the trefoil knot: 
4 loops link  got with a cruciform billiard.
On the right, variant with an additional loop, idea of Alain Esculier.
This roman mosaik from the Gallo-Roman villa of Seviac represents an interlacing which is found to be obtained by the routes of two balls in a cruciform billiard.

See also the cylindrical billiard knots, or Turk's heads, the linear Celtic knots.

Frontispiece of the chapel of Murato in Corsica: it is a (22,3).


next curve previous curve 2D curves 3D curves surfaces fractals polyhedra

© Robert FERRÉOL  2018