| next curve | previous curve | 2D curves | 3D curves | surfaces | fractals | polyhedra |
SKEW (CUBICAL) PARABOLA

| Name given by Seydewitz in 1847. |
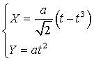
| System of Cartesian equations: Cartesian parametrization: Rational 3D cubic. |
The skew (cubical) parabola is the curve with the above
parametrization.
| Its name comes from the fact that its projections on the planes xOy, xOz and yOz are a parabola, a cubical parabola, and a semicubical parabola. |
![]() |
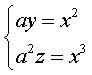
| It is the intersection between three quadrics:
and |
intersection of the cylinder and the paraboloid (that also share the line at infinity of the plane x = 0) |
intersection of the cylinder and the cone (that also share the line Oz) |
view of the 3 quadrics (Alain Esculier) |
| Its projection on the plane y + z = 0 is, up to
scaling, a Tschirnhausen
cubic
(parametrization |
![]() |
See also the tangent
developable of the skew parabola.
| next curve | previous curve | 2D curves | 3D curves | surfaces | fractals | polyhedra |
© Robert FERRÉOL 2018