next curve previous curve 2D curves 3D curves surfaces fractals polyhedra

STRICTION LINE OF A NON DEVELOPABLE RULED SURFACE


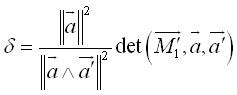
Parametrization: , for the ruled surface represented by ;
If we normalize  (), the formula simplifies to  and then M1 describes the striction line iff .

The distribution parameter can be geometrically interpreted by the formula , where  is the angle between the tangent plane at C and the tangent plane at M (Chasles rule); in an equivalent fashion, the surface generated by the normals along the generatrix is a rectangular hyperbolic paraboloid with cylindrical equation  in a frame Cxyz, Cz being the generatrix.

As a consequence, when d > 0 (right-handed surface), the tangent plane turns counterclockwise as we move along the generatrix, and clockwise in the left-handed case.
The total curvature at M is then given by the Lamarle formula: .

The striction line of a non developable ruled surface is the locus of the central points (or striction points) of each non parabolic generatrix of the surface; these points are
    - the points where the tangent plane is perpendicular to the asymptotic plane (i.e. the limit of the tangent plane when it goes to infinity along the generatrix), or,
    - the points where the absolute value of the total curvature along a generatrix has a maximum (see the above Lamarle formula), or even
    - the limit points of the common perpendicular to the generatrix and another generatrix that approaches it.
The latter definition also works in the case where the surface is developable, and the resulting line is none other than the cuspidal edge of this surface.

The striction line is not necessarily perpendicular to the generatrices (the condition is the orthogonality of M1' and a', not that of M1' and a). However, it contains (locally?) singular points of the surface.

When the surface is ruled and has a directrix plane, the projection on the striction line of the directrix plane is the envelope of the projections of the generatrices.

Examples:
    - the striction line of a conoid is its axis in the right case, but not necessarily in the oblique case,
    - the striction line of a one-sheeted hyperboloid is its bore circle when it is of revolution, but not in the general case,
    - the striction line of a ruled helicoid is its bore helix,
    - the striction line of the hyperbolic paraboloid,
    - the striction line of the Möbius surface,
    - the striction line of the milk carton.

Some illustrations of these notions, by Robert March.

References: (Mir p.64, 67)  (Deltheil p.251)  (Bouasse p. 514)
 
next curve previous curve 2D curves 3D curves surfaces fractals polyhedra

© Robert FERRÉOL , Robert MARCH  2018