next curve previous curve 2D curves 3D curves surfaces fractals polyhedra

BRACHISTOCHRONE OF GIVEN LENGTH


Problem posed and solved by Jean Bernoulli in 1718, and studied by Nathan Moscovitch in 1934.
Other name: isoperimetric brachistochrone.

 
The brachistochrone of given length is the curve of length l on which a massive point without initial speed must slide without friction in a uniform gravitational field in such manner that the travel time is minimal among all the curves of length l joining two fixed points O and A (here A(a, -b)).

 
Initial problem:  minimal, for given .
Differential equation (obtained by applying the Euler-Lagrange equation).
(see here for a little more detail)
Parametrization:  where  and  (for k = 0, we find the usual brachistochrone, in other words the cycloid).
Curvilinear abscissa given by: .
Travel time  given by: .

Other parametrization: .


 
 
View of various brachistochrones joining O = (0, 0) and A = (a, 0) for k between –1 and 1, and a = 1.
When k approaches –1, the limit curve is the segment line [OA], of length a and infinite travel time.
For k = 0, (limit between red and green), we get the cycloid of length  and minimal travel time .
For k = 1 (bottommost curve), we get a curve of length 5a/2 and travel time (rational curve, as noted by Bernoulli).
Relation between c and a.

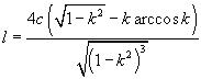
Length of a complete arch: .
Rise of the arch: .
Travel time: .

View of various brachistochrones joining O = (0, 0) and A = (a, 0) for k > 1 and a = 1.

Relation between c and a.

Length of a complete arch: .
Rise of the arch: .
Travel time: .

Remark: these curves also solve the dual problem of determining the curve of given travel time with minimal length.
 
Comparison between the curves obtained by solving the differential equation (on the left) and mere scalings of the cycloid (on the right)....

 
next curve previous curve 2D curves 3D curves surfaces fractals polyhedra

© Robert FERRÉOL 2017