| next curve | previous curve | 2D curves | 3D curves | surfaces | fractals | polyhedra |
DÜRER'S SHELL CURVE

| Curve studied by Albrecht Dürer in 1525.
See also: mathshistory.st-andrews.ac.uk/Curves/Durers/ and K. Fladt p. 236. |
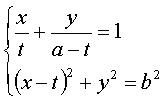
Given a fixed point A(a,0) and a constant
b > 0, let a line (PQ) vary in such a way that P describes
Ox and Q describes Oy, with ;
Dürer's shell curve, that the engraver had designed from an articulated
system, is the locus of the points M on the line (PQ) such
that PM = b.
| Parametric system: Cartesian parametrization 1: Cartesian parametrization 2: Cartesian equation: Rational bicircular quartic. |
The parametric system above shows that Dürer's shell
curve is the projection on xOy of the biquadratic,
intersection of the elliptic cylinder
with the hyperbolic cylinder
.
| next curve | previous curve | 2D curves | 3D curves | surfaces | fractals | polyhedra |
© Robert FERRÉOL 2017