| next curve | previous curve | 2D curves | 3D curves | surfaces | fractals | polyhedra |
HUMBERT CUBIC

| Curve studied by G. Humbert in 1887 (j. de math
pures et appliquées, 1887, p. 377).
Marie Georges Humbert (1859-1921): French mathematician. Homemade name. |
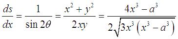
| Polar equation: Cartesian equation: Elliptic cubic. Curvilinear abscissa given by |
![]() |
The Humbert cubic is the curve defined by the equations
above.
Its polar equation shows that it is a special case of
sinusoidal spiral
(parameter n = –3).
Its Cartesian equation shows that it is a special case
of cubic hyperbola.
It is also the inverse of the Kiepert curve.
It was considered by Humbert because it is one of the
few cubics, with the Tschirnhausen
cubic, for which
has a rational expression as a function of x and y (but not
as a function of x alone!).
The Humbert cubic and the equilateral
trefoil (with similar shape, but the asymptotes of which do not intersect)
are the only cubics with a rotation symmetry of order 3 (see Goursat
curve).
| next curve | previous curve | 2D curves | 3D curves | surfaces | fractals | polyhedra |
© Robert FERRÉOL 2017