| next curve | previous curve | 2D curves | 3D curves | surfaces | fractals | polyhedra |
MULTICARDIOID
| Curve proposed in a special case by Brocard in 1894,
called
"Brocard trefoil" by G. de Longchamps.
Homemade name. |
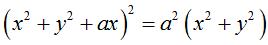
| Polar equation: obtained by replacing x by |
The multicardioids are the images of the cardioid
by the Brocard transformation.
Some examples with :
| n = 2 | n = 3 | n = 5 | n = 3/2 | |
![]() |
![]() |
![]() |
![]() |
|
![]() |
(Brocard trefoil) |
![]() |
![]() |
|
![]() |
![]() |
![]() |
![]() |
|
![]() |
![]() |
![]() |
![]() |
|
![]() |
![]() |
![]() |
![]() |
|
![]() |
![]() |
![]() |
![]() |
|
![]() |
![]() |
![]() |
![]() |
![]() |
![]() |
![]() |
![]() |
The original article by Brocard, Nouvelles annales 1894, page 58
| next curve | previous curve | 2D curves | 3D curves | surfaces | fractals | polyhedra |
© Robert FERRÉOL
2017