| next curve | previous curve | 2D curves | 3D curves | surfaces | fractals | polyhedra |
DRAWBRIDGE CURVE

| Curve defined by Bernard
Forest de Bélidor during his study of the drawbridge mechanism
that since bears his name.
He had himself named this mechanism: drawbridge with a sinusoid, even though the curve is not a sinusoid. |
The drawbridge curve is the curve described by the end of the counterweight of a drawbridge (figure above) so that the system bridge + counterweight is always in equilibrium.
It can be proved that this curve is none other than a portion of Cartesian oval.
Here is a proof of this fact:
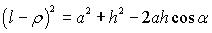
| With the notations of the opposite figure, we write that
the total potential energy is constant: If we consider the case where the counterweight is at C when the bridge is down, then the constant E equals 0 and In the general case, if |
a = length of the drawbridge = AB
|
| Calculation of the tension of the hoist: since the bridge
is in equilibrium, the sum of the moments of the forces applied to it is
zero: |
| A drawbridge with the Bélidor system can be found in Fort l'Ecluse (not far from Geneva). | ![]() |
![]() |
Other curves defined mechanically: the
curve
of the water bucket, the curve of
the tightrope walker.
Case where the curve of the drawbridge is a portion of a limaçon of Pascal |
Case where the drawbridge curve is a portion of a Cartesian oval. |
| next curve | previous curve | 2D curves | 3D curves | surfaces | fractals | polyhedra |
© Robert FERRÉOL 2017