next curve previous curve 2D curves 3D curves surfaces fractals polyhedra

PSEUDOSPIRAL OF PIRONDINI


Curve studied by Puiseux in 1844 and by Pirondini in 1892 and 1905, after whom it is named.
Geminiano Pirondini 1857 - 1914: Italian mathematician.

 
 
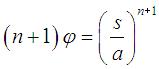
Intrinsic equation 1:  with n real number different from -1.
Intrinsic equation 2: .
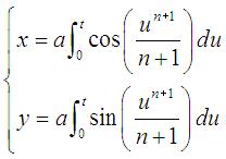
Cartesian parametrization: .
Curvilinear abscissa: s = at.
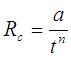
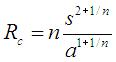
Radius of curvature: .

The pseudospiral (of Pirondini) of index n is the curve the curvature of which is proportional to the n-th power of the curvilinear abscissa. It is a generalisation of the clothoid (case n = 1), that also includes the cases of the circle (n = 0), of the logarithmic spiral (n = -1), of the involute of a circle (n = -1/2), and of a limit case of alysoid (n = -2).

It assumes, for t > 0, the following shapes:
 

n > 0

-1 < n < 0

n < -1

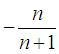
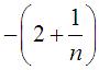
An important property, that explains the case of the involute of a circle, is that the evolute of the pseudospiral of index n is a pseudospiral of index  (intrinsic equation ).
The radial of the pseudo-spiral of index n is the Archimedean spiral of index .

Its Mannheim curve is the curve with Cartesian equation: .
 
 
next curve previous curve 2D curves 3D curves surfaces fractals polyhedra

© Robert FERRÉOL  2017