| next curve | previous curve | 2D curves | 3D curves | surfaces | fractals | polyhedra |
SICI SPIRAL

| Sici: initials of the Sine Integral (Si) and the Cosine
Integral (Ci) (name given by [Von Seggern]
in 1993 ?).
Other name: Nielsen spiral. |
![]() |
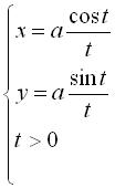
Cartesian parametrization: Complex parametrization: Curvilinear abscissa: Cartesian tangential angle: Radius of curvature: Intrinsic equation 1: Transcendental curve. |
The ordinate of the asymptote is equal to the value of
the Dirichlet integral .
Curve very similar to the portion of hyperbolic
spiral: .
Compare also to the Cornu
spiral.
| next curve | previous curve | 2D curves | 3D curves | surfaces | fractals | polyhedra |
© Robert FERRÉOL 2017