| next curve | previous curve | 2D curves | 3D curves | surfaces | fractals | polyhedra |
STURM ROULETTE


| Curve studied by Sturm in 1841.
Charles-François Sturm (1803 - 1855): French mathematician. |
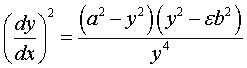
| Differential equation: with e = 1 for the elliptic
roulette (ellipse with semi-axes a and b (a > b)),
Cartesian parametrization in the elliptic case: where, e = c / a.
Cartesian parametrization in the hyperbolic case: |
The notion of Sturm roulette
refers to the locus of the centre of a centred conic rolling without slipping
on a line; it is said to be elliptic of hyperbolic depending
on whether the conic is an ellipse
or a hyperbola.
![]() |
| With a constant major axis, in the elliptic case, the Sturm roulette goes from being the line (case of the rolling circle e = 0), to being a reunion of semicircles (case of a "rolling" segment line e = 1). |
![]() |
With a constant major axis, in the hyperbolic case, the Sturm roulette goes from being a reunion of semicircles (e = 1) to a segment line (infinite e). |
The special case of a rectangular hyperbola ()
gives the
rectangular Sturm
roulette, which also is a lintearia,
as well as a Ribaucour curve
(cf. right animation at the top of the page).
See also the Delaunay
roulettes, locus of a focus of the conic, as well as the determination
of the road associated to an elliptic
wheel.
| next curve | previous curve | 2D curves | 3D curves | surfaces | fractals | polyhedra |
© Robert FERRÉOL
2017