| next curve | previous curve | 2D curves | 3D curves | surfaces | fractals | polyhedra |
BICYLINDRICAL CURVE
| Other name : Steinmetz curve. |
The bicylindrical curves are the intersections between two cylinders of revolution.
First case : two orthogonal cylinders with radii a
and b, and axis at distance 2c.
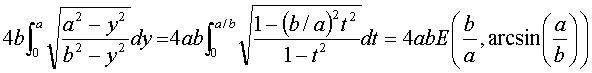
| System of Cartesian equations: Biquadratic. Cartesian parametrization: Cartesian equation of the projection on xOy: Area of the portion of cylinder delimited by each component, for |
Case a = b:
The curve is invariant under the two half-turns
that swap the two cylinders.
![]() |
Small c. |
c = a /2 |
Case a < b:
![]()
|
![]() See the Alain curve. |
![]() |
| One can notice that the bicylindrical curve is traced
on the ellipsoid By scaling, we can turn the ellipsoid into a sphere, while the two cylinders become elliptic cylinders. The intersection obtained is one of the possible seam lines of a tennis ball. |
![]() |
![]() |
| Coiling the iso-energy curves of the pendulum leads to bicylindrical curves that are the intersection between cylinders with perpendicular axes. | ![]() |
Second case : two cylinders with secant axes, one of radius
a,
the other of radius b, forming an angle
with the plane orthogonal to the first.
| System of Cartesian equations: Cartesian parametrization: Case a = b : |
![]() |
![]() |
| The Swiss jeweler Philippe Mingard uses bicylindrical
curves for his creations (case a = b, small c); he believes
that this curve is "the manifestation of simplicity and purity incarnate".
See also the case of the seam line of a tennis ball, or the pancake curve, other curves that are invariant under a half-turn. |
![]() ![]() |
| The Ulysse Lacoste rulpidon, a Steinmetz solid pierced with two full cylinders, reveals 10 edges which are 5 bicylindrical curves one of which is formed by two ellipses. | ![]() |
![]() |
Beams of my chalet... |
Botzaris station, in the Parisian Metro. |
Lights in my staircase |
Many other examples on the mathourist's page!



| next curve | previous curve | 2D curves | 3D curves | surfaces | fractals | polyhedra |
© Robert FERRÉOL 2022