| courbe suivante | courbe précédente | courbes 2D | courbes 3D | surfaces | fractals | polyèdres |
BICYLINDRIQUE
Bicylindrical
curve, dizylindrische Kurve
| Autre nom : courbe de Steinmetz. |
Les bicylindriques sont les courbes intersections de deux cylindres de révolution.
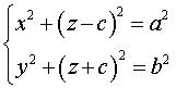
Première étude : cas de 2 cylindres orthogonaux,
de rayons a et b, et d'axes distants de 2c :
| Système d’équations cartésiennes
: Biquadratique. Paramétrisation cartésienne : Equation cartésienne de la projection sur xOy : Pour - Aire de la portion de cylindre délimitée par chaque composante, donnée par une intégrale elliptique de deuxième espèce : - Volume de la portion du grand cylindre
découpée par le petit, donnée par des intégrales
elliptiques de première et deuxième espèce :
|
Cas a = b :
La courbe est invariante par les 2 retournements
qui échangent les deux cylindres.
![]() |
c petit. |
c = a /2 |
Cas a < b ;
![]()
|
![]() Voir la courbe d'Alain. |
![]() |
| On peut remarquer que cette bicylindrique est tracée
sur l'ellipsoïde Par dilatation, on peut ramener l'ellipsoïde à une sphère, les deux cylindres devenant, eux, elliptiques. L'intersection obtenue est une des possibilités de la couture de balle de tenis. |
![]() |
![]() |
| Les enroulements des courbes d'isoénergie du pendule pesant sont les bicylindriques intersections de cylindres d'axes perpendiculaires. | ![]() |
Deuxième étude : cas de deux cylindres d'axes
sécants,
l'un de rayon a, l'autre de rayon b, faisant un angle
avec le plan orthogonal au premier.
| Système d’équations cartésiennes
: Paramétrisation cartésienne : Cas a = b : |
![]() |
![]() |
| Le joaillier suisse Philippe Mingard utilise des bicylindriques
dans ses créations (cas a = b, c petit) ; il trouve
que cette courbe est "la manifestation de la simplicité et
de la pureté incarnées".
Voir aussi dans ce cas la couture de la balle de tennis, ou la courbe de la crêpe, autres courbes invariantes par retournement. |
![]() ![]() |
| Le rulpidon d'Ulysse Lacoste, solide de Steinmetz percé de deux cylindres pleins, fait apparaître 10 arêtes qui sont 5 bicylindriques dont l'une est formée de deux ellipses. | ![]() |
![]() |
|
Les poutres de mon chalet... |
Station Botzaris, dans le métro parisien. |
Les luminaires de mon escalier |
De nombreux autres exemples sur la page du mathouriste !



| courbe suivante | courbe précédente | courbes 2D | courbes 3D | surfaces | fractals | polyèdres |
© Robert FERRÉOL 2023