next curve previous curve 2D curves 3D curves surfaces fractals polyhedra

ASYMPTOTIC LINE of a surface


Notion studied by Dupin.
From the Greek asumptôtos "that does not collapse".
See Fedenko, p. 84 à 87, ex. 792 à 818, corrected p. 202 à 204.

 
Differential equation:  equivalent to  where  is the normal vector of the surface at M; i.e.  (cancelation of the second fundamental quadratic form), or .
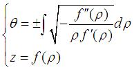
Cylindrical equation of the asymptotic line of the surface of revolution :.

The asymptotic lines of a surface have three equivalent definitions:

DEF #1: they are the curves traced on the surface that are tangent at each point to one of the asymptotic directions (i.e. one of the directions for which the curvature is equal to zero, or also one of the asymptotes of the Dupin indicatrix cubic corresponding to this point, or its axis when it is reduced to two parallel lines).

DEF #2: they are the curves traced on the surface with normal curvature (i.e. the curvature of the section of the surface by the plane containing the tangent to the curve and the normal to the surface - see the notations) always equal to zero. This is equivalent to the geodesic curvature being equal to the curvature.

DEF #3: they are the curves traced on the surface such that at each point, the tangent plane of the surface is an osculating plane of the curve (in other words, the Frenet and Darboux frames coincide).

DEF #3-A (kinematic point of view): they are the trajectories of a body moving on the surface so that the acceleration vector is always in the tangent plane of the surface.

The asymptotic lines only pass through hyperbolic points (by which pass two lines) or parabolic points (by which only pass one line) of the surface; they are tangent at every point to the section of the surface by the tangent plane at the current point.

Examples:
     - the lines included in the surface are asymptotic lines (for example the case of the hyperbolic paraboloid and of the one-sheeted hyperboloid)
     - for a developable surface, the asymptotic lines are the only generatrices.
     - a surface is minimal iff by all points pass two orthogonal asymptotic lines.
    - see on the corresponding pages the asymptotic lines of the torus, catenoid, Plücker conoid, right helicoid, funnel.

See also the pseudogeodesics, for which the osculating plane forms a fixed angle with the tangent plane (angle equal to zero in the case of asymptotic lines).
 
next curve previous curve 2D curves 3D curves surfaces fractals polyhedra

© Robert FERRÉOL   2024