next curve previous curve 2D curves 3D curves surfaces fractals polyhedra

ASYMPTOTIC LINE OF THE TORUS


open torus


horn torus

spindle torus

 
Toric differential equation: , for the torus .
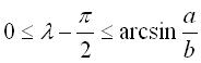
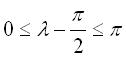
Toric equation: , with  if a > b (open torus) and  if a < b (spindle torus).
 
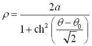
In the case of the horn torus (b = a), this elliptic integral can be computed, and we get
Toric equation: .
Polar equation of the projection on xOy.
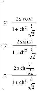
Cartesian parametrization: 

In the case of the horn torus, the projection of the asymptotic line is a spiral with an asymptotic point.

Note that since the asymptotic lines only pass through hyperbolic points, they only exist in the internal part of the torus.

See also the geodesics of the torus.
 
next curve previous curve 2D curves 3D curves surfaces fractals polyhedra

© Robert FERRÉOL 2018