| next curve | previous curve | 2D curves | 3D curves | surfaces | fractals | polyhedra |
CURVE OF CONSTANT PRECESSION

| Curve studied by Paul D. Scofield in 1995. |
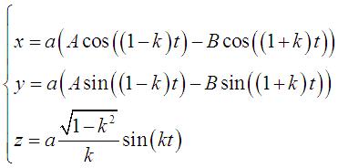
| Cartesian parametrization: Curve traced on the hyperboloid: |
The curves of constant precession are the curves such that the instant rotation vector of the Frenet frame has a motion of uniform rotation around a fixed axis when this frame travels along the curve at constant speed. Therefore, this vector has a motion similar to that of the axis of a spinning top, hence the expression "constant precession".
Remember that if the Frenet frame is written , then the instant rotation vector
is defined by the relations:
and given by the formula:
.
| The projection on the plane xOy of the curve given above is an epitrochoid with parameter Opposite, the case k =3/5 which gives q = 3.
|
![]() |
| The end of the tangent vector describes the spherical indicatrix of curvature of the curve; the formulas show that this indicatrix is a spherical helix. Opposite, the indicatrix of curvature of the curve above. |
![]() |
Compare to the Capareda curves.
| next curve | previous curve | 2D curves | 3D curves | surfaces | fractals | polyhedra |
© Robert FERRÉOL 2018