| next curve | previous curve | 2D curves | 3D curves | surfaces | fractals | polyhedra |
CISSOID

| From the Greek Kissos: ivy. |
![]() |
Polar equation: Cartesian equation: Rational circular cubic with a cuspidal point. Rational Cartesian parametrization: Coordinates of the intersection point with the asymptote: Coordinates of the point with maximal abscissa: |
The simplest construction of a cissoid is by double projection:
given two lines (T) and (T') and a point O on (T'),
a variable point P on (T) is projected on the point Q
on (T'), which in turn is projected on M on (OP):
the cissoid is the locus of M (see the figure above); the cissoid
of Diocles is obtained when (T) and (T') are strictly
parallel.
Here, (T) is the vertical line: x = a,
(T') is the line ,
forming an angle of
with the latter.
But the classical construction of the cissoid is... cissoidal:
given a circle (C), a point O on this circle and a tangent
(T") of this circle, a variable point S on (T") defines
a point R at the intersection between (OS) and (C):
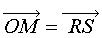
the cissoid is the locus of the points M such that.
The cissoids are therefore the cissoids
with pole O of a circle (C') passing through O and
of the symmetrical image (T') of a tangent to (C') with respect
to O; here, (C') is the symmetrical image with respect to
O of the circle (C) with polar equation:
and (T") is the line:
.
![]() |
Here, the circle (C') is dotted, the full circle being its image by the homothety with centre O and ratio 2. The dotted line (T) is on the left, when the full line is its image by the same homothety. The cissoid is then the median curve with centre O of these circle and line. |
Cissoids can be defined algebraically as cuspidal (i.e.
with a cuspidal point) circular cubics.
As can all rational
circular cubics, the cissoid can also be defined as:
- the pedal
of a parabola with respect to one of its points (here the parabola with
focus A and tangent at the vertex
).

- the inverse
of a parabola with respect to one of its points (here, the parabola ,
the circle of inversion being the circle (O, a)).

| next curve | previous curve | 2D curves | 3D curves | surfaces | fractals | polyhedra |
© Robert FERRÉOL 2017