| next curve | previous curve | 2D curves | 3D curves | surfaces | fractals | polyhedra |
CISSOID OF DIOCLES

| Curve studied by Diocles, 180 BC; Fermat; Huygens.
From the Greek Kissos: ivy, probably in reference to the nervures...
Diocles (2nd century BC): Greek mathematician. |
![]() |
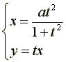
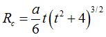
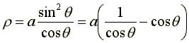
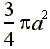
Polar equation: Cartesian equation: Rational circular cubic with a cuspidal point. Rational Cartesian parametrization: Cartesian tangential angle: Curvilinear abscissa: Radius of curvature: Area between the curve and its asymptote: |
The simplest construction of cissoid of Diocles is by double projection on two parallel lines: given two parallel lines (T) and (T') and a point O on (T'), a variable point P on (T) is projected on the point Q on (T'), which in turn is projected on M on (OP): the cissoid of Diocles is the locus of M.

Like all rational
circular cubics, the cissoid of Diocles can also be defined as:
| - the cissoid
with pole O of a circle with diameter [OA] where A(–a,0)...
|
|
| ... and therefore also the medial curve of a circle and a straight line | ![]() |
| - the pedal of a parabola with respect to its vertex (here the parabola with vertex O and focus F, the symmetrical image of A about O)... |
![]() |
| .. and therfore also the envelope of circles, centered on a parabola, and passing through its vertex. |
![]() |
| - the inverse of a parabola with respect to its vertex (here, the parabola with vertex O and focus A, the circle of inversion being the circle with centre O passing by A)). |
![]() |
Like all right rational circular cubic, the cissoid of Diocles can be constructed...
|
|
|
![]() |
![]() |
It can also be defined as:
| - the locus of the vertex of a parabola rolling without slipping on an isometric parabola such that the two parabolas are outside of one another and their vertices eventually meet (see orthotomic). |
![]() |
| - the locus of the focus of a variable parabola with fixed vertex passing by a fixed point (see glissette). | ![]() |
| - the orthocaustic of a cardioid with respect to its summit (here, the cardioid with cusp at (a, 0) and summit at (4a, 0)). | ![]() |
| - a Rosillo curve: given a diameter [BC] of a circle and a point P describing this circle, the cissoid is the locus of the intersection point of the perpendicular to [BC] passing through P and the parallel to (CP) passing by B. |
![]() |
Finally, it is a special case of cubic
hyperbola and of an ophiuride.
![]() |
The cissoid of Diocles is a duplicatrix:
if B is the point with coordinates (0, 2a) and C the
intersection point of (C) and (AB), the coordinates of the
intersection point X of (OC) and (T) are (a, |
![]() This figure is not to be mistaken for the plot of the tractrix and its evolute, the catenary. |
![]() |
| next curve | previous curve | 2D curves | 3D curves | surfaces | fractals | polyhedra |
© Robert FERRÉOL 2017