next curve previous curve 2D curves 3D curves surfaces fractals polyhedra

CYCLOIDAL CURVE

General expression for the cycloid and the centred cycloids (epi- and hypocycloids).

They can be defined in a general way as the trajectories of the movements composed of two uniform motions, circular and linear, at the same speed; or also by their intrinsic equation:
 
Intrinsic equation 1: ;
Intrinsic equation 2: ;
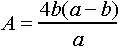
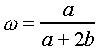
w  = 1: cycloid (A = 4 times the radius of the rolling circle)
0 < w < 1: epicycloid ( where a is the radius of the base circle, b that of the rolling one)
w > 1: hypocycloid ( where a is the radius of the base circle, b that of the rolling one).

The polar differential equations of epi- and hypocycloids are:
 
; k < 0: hypocycloid, k > 0: epicycloid.

The evolute, and even any evolutoid of a cycloidal curve is a cycloidal curve.

By analogy, the curves with intrinsic equation  are called pseudo-cycloidal curves.
For a generalisation to the space, see spherical cycloid.
 
next curve previous curve 2D curves 3D curves surfaces fractals polyhedra

© Robert FERRÉOL  2017