| next curve | previous curve | 2D curves | 3D curves | surfaces | fractals | polyhedra |
EPICYCLOID

| Curve studied by Hipparchus in the 2nd century BC, Dürer
in 1525, RØmer in 1674
and Daniel Bernoulli in 1725.
Prefix coming from the Greek epi "over". |
The epicycloids are the curves described by a point on a circle (C) rolling without slipping on a base circle (C0), the open disks with boundaries (C) and (C0) being disjoint. Therefore, they are special cases of epitrochoids.

| Complex parametrization: where a is the radius of the base circle and Cartesian parametrization: Vector radius: Curvilinear abscissa given by Two possible expressions for the curvilinear abscissa: 1) Cartesian tangential angle: Radius of curvature: Intrinsic equation 1: ( Intrinsic equation 2: |
The epicycloids are the curves composed of isometric arcs
(the arches) joining at cuspidal points (obtained for )
in a finite number equal to the numerator of q if q is rational,
or in an infinite number otherwise.
When q is rational, ,
the curve is algebraic and rational (take
as a parameter).
Its looks like a regular polygon, crossed if m³
2, with
n vertices joined m points by m points by
the curves located outside the circle (C0).
The notation of simple epicycloid with n cusps
(En) refers to the case q
= n, i.e. when there are no crossovers.
q = 1: cardioid |
q = 2: nephroid |
q = 3 |
q = 4 |
q = 5 |
q = 1/2: double cardioid |
q = 3/2 |
q = 5/2 |
q = 7/2 |
q = 9/2 |
q = 1/3 |
q = 2/3 |
q = 4/3 |
q = 5/3 |
q = 7/3 |
q = 1/4 |
q = 3/4 |
q = 5/4 |
q = 7/4 |
q = 9/4 |
q = 1/5 |
q = 2/5 |
q = 3/5 |
q = 4/5 |
q = 6/5 |
| The epicycloid is also the curve described by a point
on a circle with radius |
![]() |
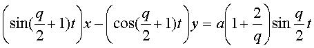
The epicycloid is the envelope of a diameter of a circle with radius twice that of (C), rolling without slipping on (C0) externally.
It is also the envelope of a chord (PQ) of the
circle with radius a + 2b (circle of the vertices of the
epicycloid), while P and Q describe this circle in the same
direction with the speed ratio constant and equal to q + 1 (this
constitutes the Cremona generation).
Therefore, if we consider that planets have uniform circular
movements on a plane around the Sun, the line that joins two planets envelopes
an epicycloid (see, for example, this
video).
It is finally the negative
pedal with respect to O of the rose: .
| Its evolute
is its image by the direct similarity with centre O, ratio |
![]() |
One of its involutes is therefore a similar epicycloid;
when the numerator of q is odd, the other involutes are auto-parallel
curves.
| Epicycloids can also be defined as the trajectories of
a movement that is the sum of two uniform circular motions with same speed
and in the same direction (with complex parametrization: |
![]() |
| The epicycloid is also the symmetric
curve of the hypocycloid
traced with the same circle.
For example, opposite, the epicycloid with 4 cusps is the symmetric curve of the astroid. |
![]() |
Epicycloids are also a special case of cycloidal curve, along with hypocycloids and the cycloid.
They also are the projections of spherical helices.
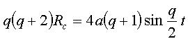
The differential equation
shows, thanks to the Euler-Lagrange equation, that, as the cycloid, the
epicycloid is a brachistochrone
curve: it is the planar curve that minimises the travel time of a massive
point moving freely along this curve, while the curve turns at constant
speed around a fixed centre O, in the case where the speed of massive
point cancels out when it is at distance a from O (when a
= 0, the brachistochrone is then the logarithmic
spiral).
We also find the epicycloids as the principal components
of the Mandelbrot
sets associated to .
See also in 3D the spherical epicycloids.

| next curve | previous curve | 2D curves | 3D curves | surfaces | fractals | polyhedra |
© Robert FERRÉOL, Jacques MANDONNET 2017