| next curve | previous curve | 2D curves | 3D curves | surfaces | fractals | polyhedra |
FERMAT'S SPIRAL

| Curve studied by Menelaus in the end of the first century
and by Fermat in 1636.
Pierre de Fermat (1601-1655): French mathematician. ![]() |
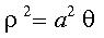
| Polar equation: Cartesian equation: Transcendental curve. Curvilinear abscissa: |
The Fermat spiral
is a special case of parabolic
spiral.
| It is a closed curve without double points dividing the
plane into two connected regions, symmetrical about O.
The blue region opposite corresponds to |
![]() |
| If the curve is traced only for nonnegative values of |
![]() |
Its inverse with respect to O is the lituus.
| The curve on which it rolls in such a way that the movement of its centre is linear is a cubic parabola. | ![]() |
Pre-Columbian work, museum of archaeology, Mexico City.
| next curve | previous curve | 2D curves | 3D curves | surfaces | fractals | polyhedra |
© Robert FERRÉOL 2017