next curve previous curve 2D curves 3D curves surfaces fractals polyhedra

BICIRCULAR QUARTIC


(Reduced) Cartesian equation: .

The bicircular quartics are the cyclic curves the deferent (or, to use the vocabulary of this last link, the initial curve) of which is a centred conic, in other words, they are the envelopes of the circles the centres of which describe a centred conic and such that a fixed point has a constant power with respect to these circles.PB: C or D = 0

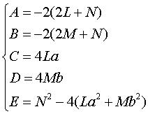
If the deferent is  (so, is centred on O), the fixed point is (a, b), the power is p and , then the equation of the bicircular quartic is the equation above, with

In some cases, the power p obtained is complex (for example if C = D = 0 and E < 0).

Examples:
(Remember that the reference circle, or circle of inversion, is the circle with centre W and radius ).
 
Type Condition related to A, B, C, D, E providing the generality of the example. Condition related to L, M, N, a, b providing the generality of the example NSC related to the reference circle and the deferent providing the generality of the example.
rational bicircular quartic   the reference circle is reduced to a point or tangent to the deferent
Cartesian curve A = B, D = 0 L = M, b = 0, The deferent is a circle
complete Cartesian oval   L = M = R2, b = 0 the deferent is a circle and p < 0, or p ³ 0 and the deferent and reference circles do not intersect.
limaçon of Pascal   L = M, b = 0, p = 0 the deferent is a circle and the reference circle is reduced to a point or is tangent to the deferent circle
cardioid , b = 0 the deferent is a circle and the reference circle reduces to a point on this circle
plane spiric A  B and D = 0 L ¹ M and b = 0 the deferent is not a circle and the reference circle is centred on an axis of the deferent
spiric of Perseus A  B and C = D = 0  L ¹ M and a = b = 0 the deferent is not a circle and the reference circle is centred on the centre of the deferent
Cassinian oval B = –A and C =D =0 L +M +N =0 and a = b = 0 the reference circle is the Monge circle of the deferent.
Booth curve C = D = E = 0  a = b = N = 0 The reference circle is reduced to the centre of the deferent
lemniscate of Bernoulli B = –A and C =D = E = 0 M = – L
and a = b = N = 0
The deferent is a rectangular hyperbola and the reference circle is reduced to the centre of it

The bicircular quartics are the inverses of the Cartesian ovals; more precisely, if we take , then the quartic above is the image of the Cartesian oval:  by an inversion of pole , transforming  into  and  into .
Therefore, Cartesian ovals are special cases of bicircular quartics.

The curve is not empty iff the three sums  are not simultaneously positive nor negative; this condition is equivalent to saying that among the three coefficients a’, b’, g’, the couple of them with largest absolute value have opposite signs (not strict inequalities).
 
 
next curve previous curve 2D curves 3D curves surfaces fractals polyhedra

© Robert FERRÉOL  2017