| next curve | previous curve | 2D curves | 3D curves | surfaces | fractals | polyhedra |
ROULETTE WITH LINEAR BASE
| Notion studied by Besant in 1869. |
Given a curve () and a point O linked to (
), the associated roulette with linear base is the trace of the point O when the curve (
) rolls without slipping on a fixed line. Therefore, this is a movement of a plane over a fixed plane the base of which is linear.
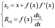
| The formulas linking the equations of the rolling curve ( Starting from a rolling curve Conversely, starting from a roulette The curvilinear abscissa and the radius of curvature of the rolling curve are given by: In complex parametrization, the relation can be written: |
![]() |
Examples:
| figure |
|
tracing point | roulette |
![]() |
circle | on the circle | cycloid |
![]() |
circle | outside the circle | trochoid |
![]() |
parabola | focus of the parabola | catenary |
![]() |
centred conic | focus of the conic | Delaunay roulette |
![]() |
centred conic | centre of the conic | Sturm roulette |
![]() |
logarithmic spiral | centre of the spiral | line |
![]() |
involute of a circle | centre of the circle | parabola the base of which is the symmetry axis |
![]() |
Tschirnhausen cubic | focus of the cubic | parabola the directrix of which is the base of the rolling motion |
![]() |
Norwich spiral | pole of the spiral | Tschirnhausen cubic |
![]() |
hyperbolic spiral | centre of the spiral | tractrix |
![]() |
centred cycloid | centre of the cycloid | ellipse |
| sinusoidal spiral of index n | pole of the spiral | Ribaucour curve of index 1+1/n |
Since the roulettes with linear base of a curve are identical to the glissettes with linear base of any involute of this curve, see other examples at glissette.
Compare to the notion of wheel-road couple, where, now, it is the roulette that is linear instead of the base.
| next curve | previous curve | 2D curves | 3D curves | surfaces | fractals | polyhedra |
© Robert FERRÉOL 2017