courbe suivante courbe précédente courbes 2D courbes 3D surfaces fractals polyèdres

BARYCENTRIQUE
Barycentric curve, Schwerpunktskurve


Courbe étudiée par Cesàro en 1883, en 1886 (1) , en 1886 (2).

 
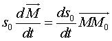
La courbe de départ étant parcourue par , la barycentrique est parcourue par M défini par .
En dérivant, on obtient  ; la vitesse V de M, et la vitesse  de  ont donc pour rapport .

La (courbe) barycentrique d’une courbe  est le lieu des centres de gravité (ou barycentres) des arcs (homogènes) de la courbe comptés à partir d’un point fixe.

La relation  montre que le vecteur vitesse du centre de gravité pointe toujours vers le point de la courbe de départ, de sorte que la barycentrique est une courbe de poursuite associée au mouvement du mobile de départ.

Exemples : la barycentrique de la droite est évidemment la même droite, la barycentrique du cercle est la cochléoïde.

Exemple détaillé :

BARYCENTRIQUE DE LA SPIRALE LOGARITHMIQUE, en partant de son point asymptote.
 
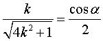
Pour la spirale de départ  :
Paramétrisation cartésienne de la barycentrique : .
Equation polaire dans un repère tourné d'un angle , où .

Barycentrique, en rouge, de la spirale bleue.

La barycentrique de la spirale est donc une spirale égale. De plus le rapport  est égal à . Étant constant, la barycentrique est donc une courbe de poursuite classique.
 

© Robert FERRÉOL 2020