| courbe suivante | courbe précédente | courbes 2D | courbes 3D | surfaces | fractals | polyèdres |
COURBE DE LA BIELLE DE BÉRARD
Curve
ot the slider-crank mechanism, Kurve der Schubkurbel
![]() |
![]() |
| Courbe étudiée par Bérard en 1820
et Ruiz-Castizo
en 1889.
Joseph-Balthazar Bérard (1763 - 1844 ?) : professeur de mathématiques. Autres noms : courbe du système bielle-manivelle, quartique de Ruiz-Castizo. |
Une courbe de la bielle de Bérard est le
lieu d’un point fixé M du plan lié à la barre
[PQ] (appelée la bielle) d'un mécanisme articulé
(OPQ), O étant fixe et Q astreint à
se mouvoir sur une droite (D) (le tiroir, ou piston).
Autrement dit, une courbe de la bielle de Bérard est le lieu d'un
point lié à un segment de longueur constante joignant un
cercle (C) à une droite (D).
![]() |
Nous choisissons A(0, a) projeté
de O sur (D) , OP = b,
PQ = c.
En prenant des lettres minuscules pour les affixes des points, on a : En écrivant Paramétrisation cartésienne : en particulier, le mouvement de Q Quartique bicirculaire (?). |
|
![]() |
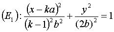
Équation cartésienne lorsque M est
sur la droite (PQ) (soit l = 0) :
Aire : |
La courbe est non vide si et seulement si a £ b + c, et dans ce cas, elle est connexe ssi b £ a + c (?).
Lorsque M est sur la bielle, l'équation
ci-dessus montre que la courbe de Bérard est alors une courbe
polyzomale, médiane des
deux ellipses : ,
et
.
En particulier :
| - lorsque a = 0 ((D) passe par O) et k = -1, ces deux ellipses sont des cercles concentriques : les courbes associées sont les quartiques de Bernoulli. Voir sur cette page la base et la roulante du mouvement plan sur plan associé. | ![]() |
| - lorsque c = a + b et k = -1, ces deux ellipses sont des cercles tangents : les courbes associées sont les doubles-coeurs. | ![]() |
| - lorsque a = 0 et b = c, la courbe de Bérard se décompose en un cercle et une ellipse (on retrouve en fait la construction de l'ellipse par la bande de papier). |
![]() |
| Le dispositif sert à créer un monvement
rectiligne quasi sinusoïdal ; ci-contre la représentation du
mouvement de Q pour a = 0, b = 1, c = 3.
Voir aussi une application à l'essuie-glace Mercédès. |
![]() |
Si on remplace le cercle (C) par une conique quelconque, on obtient toutes les courbes polyzomales.
Si on remplace la droite (D) par un cercle, on obtient une courbe du trois-barres.
Si la bielle n'est plus astreinte à ce que son extrémité coulisse sur une droite, mais à coulisser en passant par un point fixe, on obtient les conchoïdes de cercles.

| courbe suivante | courbe précédente | courbes 2D | courbes 3D | surfaces | fractals | polyèdres |
© Robert FERRÉOL 2009