| courbe suivante | courbe précédente | courbes 2D | courbes 3D | surfaces | fractals | polyèdres |
LINTÉAIRE
Lintearia

| Problème posé et résolu par Jacques
Bernoulli en 1692 ; il a donné à la courbe le nom de
lintearia, du latin linteum "toile de lin, linge".
Autre nom proposé : bâchette, par analogie avec la chaînette. |
| La lintéaire est la forme prise par le profil d'une bâche rectangulaire attachée à deux barres horizontales, remplie d'eau jusqu'aux deux barres (deux plans limitant l'écoulement de l'eau) et placée dans un champ de pesanteur uniforme ; la bâche est supposée flexible, infiniment mince, inextensible et sans masse propre. | ![]() |

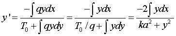
Ceci se simplifie en ,
qui, par intégration, donne
.
On en déduit ,
d'où, en éliminant l'intégrale, l'équation
différentielle de la lintéaire :
.
En posant ,
on obtient la paramétrisation :
,
pour
, qui n'est autre
que celle de la courbe élastique
(échanger x et y).
La lintéaire est donc aussi la courbe dont la courbure est proportionnelle à la profondeur, ce qui pouvait s'obtenir directement en utilisant la loi de Laplace.
Pour 0 < k < 1 , la lintéaire est ouverte , pour
k1 = -0.65222..... < k < 0 , elle se referme ; la valeur k1
est la valeur limite correspondant au problème physique.
Remarque : pour une force de pression qui serait toujours proportionnelle
à la profondeur y mais aussi à l'élément
de longueur dx au lieu de ds, et dirigée vers le bas,
soit ,
on obtiendrait une sinusoïde.
Voir la goutte pendante, généralisation à l'espace de la lintéaire.
Comparer avec la courbe de la corde à sauter.


| courbe suivante | courbe précédente | courbes 2D | courbes 3D | surfaces | fractals | polyèdres |
© Robert FERRÉOL 2007