| courbe suivante | courbe précédente | courbes 2D | courbes 3D | surfaces | fractals | polyèdres |
DOUBLE GOUTTE D'EAU
Dumbbell
curve or double teardrop, Doppeltropfen

| Nom maison ; la traduction de l'anglais est courbe de
l'haltère, et fidèle à la tradition des -oïdes,
on pourrait la baptiser "haltéroïde" !
Autres propositions : Noeud pap aplati, ou diabolo sous la forme contractée : ![]() |
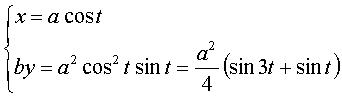
| Équation cartésienne : Paramétrisation cartésienne : Sextique rationnelle. Pour a = b, aire : |
Comparer avec la goutte
d'eau simple.
| courbe suivante | courbe précédente | courbes 2D | courbes 3D | surfaces | fractals | polyèdres |
© Robert FERRÉOL 2025