courbe suivante courbe précédente courbes 2D courbes 3D surfaces fractals polyèdres

CUBIQUE CIRCULAIRE FOCALE
Focal circular cubic, Fokalkreiskubik


cas oblique cas droit
focale à branche unique
focale à noeud (strophoïde)
focale à ovale
cas où le foyer est sur l'axe

serpentine droite 2

 
 
Courbe étudiée par Van Rees en 1829, Steiner en 1852 et Laguerre en 1868.
Autres nom : focale de Van Rees, cubique isoptique, cubique d'Apollonius, cubique circulaire axée (appellation donnée en 2002 par Dominique Roux et Michel Tixier).
Références : [Brocard Lemoyne] III, p. 92 à 100 ; [Gomes Texeira] I, p. 45 à 58.

 
L'origine du repère étant placée au foyer singulier F :
Équation cartésienne : , soit , avec a ³ 0, b > 0, (a = 0 : focale droite ; a = 0 : foyer sur l'axe) ;
l'axe est x = a, l'asymptote x = 2a, O(a, a tan a) et le point d'intersection avec l'asymptote S( 2a, - 2a cot 2a).
Cubique circulaire.
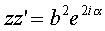
Équation complexe : , avec .
Équation polaire : , soit .

Les cubiques circulaires focales, ou focales tout court, sont les cubiques circulaires contenant leur foyer singulier F (point d'intersection des tangentes aux points cycliques) ; autrement dit, les points cycliques ont le même tangentiel (i.e. point où la tangente recoupe la courbe). En prenant pour foyer le centre du repère et pour asymptote la droite x = 2a, on obtient l'équation réduite ci-dessus.

La cubique est elliptique si , à ovale si , à une branche si , et rationnelle si , auquel cas on retrouve les strophoïdes.

L'équation complexe ci-dessus montre que les cubiques circulaires focales sont les lieux des points M tels que l'image M' par une composée d'inversion de centre F avec une réflexion d'axe passant par F soit telle que le milieu de [MM'] décrive une droite D. Cette droite est appelée l'axe de la focale (d'où l'appellation cubique circulaire axée).
Les points M et M' sont dits conjugués et se construisent très simplement l'un par rapport à l'autre par le fait qu'ils ont le même tangentiel.
 
M1 est l'inverse de pôle F de M par rapport au cercle bleu et M' le symétrique de M par rapport à (OF).

Le milieu de [M M'] décrit l'axe de la focale.

Les tangentes en M et M' se coupent en un point de la focale.

La cubique possède un axe de symétrie lorsque la réflexion ci-dessus a un axe perpendiculaire à l'axe de la focale, auquel cas elle est dite droite (ici, l'axe de symétrie est Ox, obtenu pour  = 0), ou lorsque le foyer se trouve sur son axe, qui est alors aussi l'asymptote (ici, l'axe de symétrie est Oy, obtenu pour  a = 0) ;

Lorsqu'on n'est pas dans ce dernier cas, la construction géométrique la plus simple des focales se fait comme lieu des points de contact des tangentes issues d'un point (le foyer) aux cercles d'un faisceau de cercles. L'axe radical du faisceau est l'axe de la focale. Lorsque le faisceau est à points de base (à gauche ci-dessous), on obtient les focales à une branche, lorsqu'il est à points de Poncelet, les focales à ovale, et lorsqu'il est singulier, les strophoïdes ; le centre du faisceau est .
La focale est aussi le lieu des intersections des droites issues de F avec les cercles du faisceau orthogonal au précédent centrés sur ces droites.
 

Les points de contact des tangentes aux cercles du premier faisceau issues de F décrivent la focale ; le faisceau orthogonal est en pointillé.
 Les deux points de base du premier faisceau (points de Poncelet du deuxième) sont les les points d'intersection de la focale avec son axe.

Les points de contact des tangentes aux cercles du premier faisceau issues de F décrivent la focale ; le faisceau orthogonal est en pointillé.
 Les deux points de Poncelet du premier faisceau (points de base du deuxième) sont les projetés de F sur la courbe.

Toujours pour a > 0, Les focales possèdent également une élégante construction en 3D découverte par Van Rees, comme lieu des foyers de coniques.

a) Dans le cas non droit ( différent de 0).

Si S est le point d'intersection de la focale avec son asymptote et O', le point d'intersection de la bissectrice de FSy avec l'axe, F' le symétrique de F par rapport à O' (situé sur l'asymptote) et (C) le cône elliptique de sommet S et de directrice l'ellipse orthogonale au plan de la focale de demi-axes  et b, la focale est le lieu des foyers des coniques sections du cône (C) avec les plans perpendiculaires au plan (OSF) passant par F.
On obtient une focale à ovale lorsque FF' est le grand axe de l'ellipse directrice, une focale à une branche quand c'est le petit axe, et une strophoïde quand cette ellipse est un cercle.
 
S, sommet du cône, M et M" : foyers de la conique section du cône par un plan perpendiculaire à (OSF) passant par F ; le centre I de la conique décrit l'axe de la focale.

b) Dans le cas droit ( = 0).

Si (C) est le cylindre elliptique d'axe l'axe de la focale et de directrice l'ellipse orthogonale au plan de la focale de demi-axes OF = a et b, la focale est le lieu des foyers des coniques sections du cylindre (C) avec les plans perpendiculaires au plan de la focale passant par F.
On obtient une focale à ovale lorsque FF' est le grand axe de l'ellipse directrice, une focale à une branche quand c'est le petit axe, et la strophoïde de Newton quand cette ellipse est un cercle.
 
M et M'' : foyers de la conique section du cylindre par un plan perpendiculaire au plan de la focale passant par F ; le centre I de la conique décrit l'axe de la focale.

Interprétation comme cubique isoptique.
 
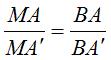
Étant donnés deux points A et B d'une focale, et les deux conjugués A' et B', la focale associée est le lieu des points M d'où les segments orientés [AB] et [B'A'] sont vus sous le même angle (i. e. les angles de droites (MA, MB) et (MB', MA') sont égaux), d'où le nom de cubiques isoptiques aussi donné aux focales.

Réciproquement, étant donnés deux segments orientés [AB] et [B'A'] dans le plan, le lieu des points d'où l'on voit ces deux segments sous le même angle est en général une focale.
Cas particuliers :
Lorsque (ABB'A') est un parallélogramme, ce lieu est une hyperbole équilatère.
Lorsque B = B' , on obtient les strophoïdes si A, B, A' sont non alignés, et les cercles d'Apollonius s'ils sont alignés ; ceci explique l'appellation "cubiques d'Apollonius" aussi donnée aux focales, bien qu'Apollonius ne les ait pas considérées.


Animation de cette construction.

 
4 points A,B,C,D tels que les 6 droites les joignants soient 2 à 2 sécantes définissent 3 focales :

La focale rouge est le lieu des points M tels que (MA,MB) = (MC, MD), ou (MA, MC) = (MB, MD) ; elle passe donc par le point d'intersection de (AB) et (CD) et celui de (AC) et (BD).

La focale bleue est le lieu des points M tels que (MA, MC) = (MD, MB) ou  (MA, MD) = (MC, MB) ; elle passe donc par le point d'intersection de (AC) et (BD) et celui de (AD) et (BC).

La focale verte est le lieu des points M tels que (MA, MD) = (MB, MC) ou  (MA, MB) = (MD, MC) ; elle passe par le point d'intersection de (AD) et (BC) et celui de (AB) et (CD).


 
 
courbe suivante courbe précédente courbes 2D courbes 3D surfaces fractals polyèdres

© Robert FERRÉOL 2016