| courbe suivante | courbe précédente | courbes 2D | courbes 3D | surfaces | fractals | polyèdres |
INVERSE BIAXIAL DE HUIT
Biaxial
inverse of an eight curve

| Nom maison. |
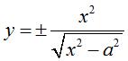
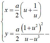
| Paramétrisation cartésienne : Équation cartésienne : |
| Comme son nom l'indique, l'inverse biaxial de huit est
l'image par l'inversion biaxiale On voit bien sur la figure les tangentes aux points d'inflexion et aux sommets du huit, qui, invariantes par l'inversion, deviennent des asymptotes de l'inverse. |
![]() |
Comparer avec la cruciforme,
qui est inverse biaxial de cercle.
| courbe suivante | courbe précédente | courbes 2D | courbes 3D | surfaces | fractals | polyèdres |
© Robert FERRÉOL
2016