| courbe suivante | courbe précédente | courbes 2D | courbes 3D | surfaces | fractals | polyèdres |
PARABOLE SEMI-CUBIQUE
Semicubical
parabola, halbkubische Parabel

| Courbe étudiée par Neile
en 1657, Leibniz en 1697 et Newton en 1701.
Autre nom : parabole de Neile. |
![]() |
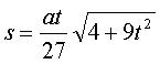
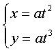
Équation cartésienne : Paramétrisation cartésienne : Équation polaire : Abscisse curviligne : Cubique.polynomiale à point de rebroussement. |
La parabole semi-cubique est une parabole
divergente dans le cas où le polynôme P a une racine
triple.
C'est la développée
de la parabole, et la polaire
de la cissoïde droite.

Contrairement à la parabole, la parabole semi-cubique est rectifiable à l'aide de fonctions rationnelles.
La parabole semi-cubique possède une importante propriété d'isochronisme : voir à isochrone de Leibniz.
La surface obtenue en la faisant tourner autour de son
axe est le neiloïde.
| courbe suivante | courbe précédente | courbes 2D | courbes 3D | surfaces | fractals | polyèdres |
© Robert FERRÉOL 2003