courbe suivante courbe précédente courbes 2D courbes 3D surfaces fractals polyèdres

Salmon quartic, Salmonsche Quartik


Courbe étudiée par Salmon en 1852 (voir higher plane curves p. 45)
George Salmon (1819 - 1904) : mathématicien irlandais.

 
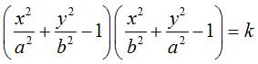
Équation cartésienne : , a, b > 0 , ou .
Paramétrisation cartésienne : .
Quartique de genre 3 pour b différent de a et de , décomposée pour b = a, de genre 2 pour b = .

 
Pour = a , la quartique se décompose en deux ellipses (cf la deuxième équation)
Pour b < a, elle est formée de 4 composantes connexes entourant les sommets d’un carré (de coordonnées ), ce qui est le maximum possible pour une quartique.

Pour a < b, elle est formée de 2 composantes connexes, la composante centrale dégénérant en un point isolé pour b = .
La quartique est dite "annulaire".
Pour b, il n'y a plus qu'une composante.
Tout ceci se voyant bien sur la surface  dont les quartiques de Salmon sont les courbes de niveau.
Pour 0 < b < a, la quartique de Salmon possède visuellement 4 fois 6 = 24 bitangentes, comme auraient 4 cercles dans un plan.
Quartique de Salmon et 6 de ses 24 bitangentes
Pour , les 4 composantes ont une partie concave et possèdent donc chacune une bitangente.
La quartique de Salmon possède donc dans ce cas 24+4=28 bitangentes réelles, maximum possible pour une quartique.
 

Les 4 bitangentes supplémentaires dans ce cas.

Or une quartique ne peut avoir que 28, 16, ou au plus 8 bitangentes réelles.
Où sont les 4 bitangentes manquantes dans le cas où les 4 composantes sont convexes ?
Elles sont bien réelles (en bleu ci-contre), mais leurs points de tangence avec la quartique sont à coordonnées complexes !

 
 
Pour obtenir le même phénomène des 4 composantes et des 28 bitangentes, on peut croiser des ellipses quelconques de sorte à accentuer la concavité des "ménisques".
Ci-contre, la courbe 
pour b=0,3a et k=0,01, avec ses deux ellipses directrices, et ses 28 bitangentes.
(Cf. la courbe de Trott).

Cf. aussi la quartique de Plücker, qui est l'exemple historique de quartique à 28 bitangentes.
 
Salmon a plus généralement étudié la quartique 
dont les différentes formes indiquées ci-dessous se voient bien sur la figure de la surface  ci-contre.
b < a1 < a2 b=a1<a2 a1 < b < a2 a1 < a2 = b a1<a2<b<(a1^4+a2^4)^(1/4) a1<a2<(a1^4+a2^4)^(1/4)<=b

 
courbe suivante courbe précédente courbes 2D courbes 3D surfaces fractals polyèdres

© Robert FERRÉOL 2014