VASQUE 2D
2D
Basin, Brunnenbecken 2D

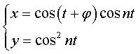
Paramétrisation cartésienne : . |
Les vasques 2D sont les courbes de paramétrisation
donnée ci-dessus.
Les vasques 2D
sont les projections sur les plans contenant Oz des vasques
3D : ,
tracées sur un paraboloïde de révolution, d'où
leur forme de vasque. |
 |
La formule
montre qu'elles sont entièrement tracées entre la parabole
et la droite y = b.
Quelques exemples :
Toute vasque
est associée à la courbe
de Lissajous : ;
ci-contre la vasque et sa Lissajous associée pour . |
 |
© Robert FERRÉOL
2011