| fractal suivant | fractal précédent | courbes 2D | courbes 3D | surfaces | fractals | polyèdres |
FRACTAL DE NEWTON
Newton's fractal, Newton-Fraktal
![]()
| Problème de la détermination de cet
ensemble posé par Cayley en 1879.
Voir Peitgen, Jürgens, Saupe, chaos and fractals, p 774. Sites : fr.wikipedia.org/wiki/Fractale_de_Newton images.math.cnrs.fr/la-methode-de-newton-et-son-fractal/ |
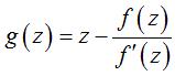
La méthode de Newton appliquée à
la résolution approchée d'une équation complexe du
type ,
où f est une fonction polynomiale, consiste à étudier
les suites récurrentes définies par
où
,
qui lorsqu'elles convergent, convergent (rapidement) vers une solution
de l'équation, c'est-à-dire vers l'une des racines du polynôme.
Le "bassin d'attraction" de chaque solution de
est l'ensemble des valeurs de
pour lesquelles la suite converge vers cette solution.
Le fractal de Newton associé à f est la frontière commune de ces bassins d'attraction.
L'exemple classique est le cas où
; il y a trois bassins correspondant aux trois racines 1, j, j²
de f, colorés en rouge, vert, jaune ci-dessus.
On a donc un exemple de 3 ouverts du plan ayant la même frontière. Ce phénomène est possible avec des ouverts connexes, voir les lacs de Wada.
Voir aussi les ensembles
de Julia.
| fractal suivant | fractal précédent | courbes 2D | courbes 3D | surfaces | fractals | polyèdres |
© Robert FERRÉOL
2014