| Famille |
polyèdre
semi-régulier ou polyèdre
d'Archimède |
| Historique |
solide connu d'Archimède (IIIe
s. av. J.C.) |
| Dual |
triaki-icosaèdre
:  |
| Faces |
12 décagones et 20 triangles |
| Sommets |
60 sommets de degré 3, de code
de Schläfli 3.102 |
| Arêtes |
90 arêtes de longueur a ; angle dièdre
entre 2 décagones
angle dièdre entre 1 triangle et 1 décagone
:  |
| Patron |
|
| Graphe |
|
| Diamètres |
sphère inscrite dans les décagones : ,
dans les triangles
intersphère
(passant par
les milieux des arêtes) : ;
sphère
circonscrite : . |
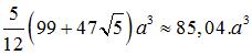
| Mensurations |
volume :
aire :
coefficient isopérimétrique : . |
| Constructions |
|
| Polyèdres dérivés |
4 polyèdres
de Johnson |
| Plans de symétrie |
15 |
| Axes de rotation |
| 6 axes passant par 2 décagones opposés
(4
rotations d'ordre 5 par axe) |
 |
| 10 axes passant par les centres de 2 triangles opposés
(2
rotations d'ordre 3 par axe) |
 |
| 15 axes passant par les milieux de 2 arêtes opposées
(1
rotation d'ordre 2 par axe) |
 |
|
| Groupe des isométries |
= celui du dodécaèdre. |