polyèdre suivant polyèdre précédent courbes 2D courbes 3D surfaces fractals polyèdres

TORE POLYÉDRIQUE PLAT
Flat polyedral Torus, Flacher Polyedertorus

Cas n = 7


Modèle transmis par Guy Valette, l'idée revenant à Ulrich Brehm en 1978.
Autre nom : diplotore.
Voir ces pages  : paper flat tori et  diplotores-tores-polyedraux-plats.
Vidéo de Henry Segermann ; figure interactive geogebra.

 
Si  le tore polyédrique plat d'ordre n de Brehm est formé des n faces triangulaires  (rouges ci-dessus), des n faces  isométriques aux précédentes (bleues ci-desssus), et des n faces rectangulaires (transparentes ci-dessus) .

Un polyèdre plat est un polyèdre non convexe tel que la somme des angles des faces aboutissant à chaque sommet est égale à 360° ; l'appellation plat vient de ce que si un tel polyèdre était convexe, les faces aboutissant à chaque sommet devraient être coplanaires (et ce ne serait donc pas un polyèdre au sens classique).
 
On remarquera que dans le polyèdre de Brehm, dont les faces ne se croisent plus à partir de n = 7, les cinq angles aboutissant à chaque sommet ont bien une somme de 360°, car il y en a 3 qui sont les trois angles d'un même triangle à isométrie près (les triangles ), et les deux autres sont droits.

En dépliant la figure des 5 faces aboutissant à un même sommet ci-contre, on obtient une figure plane.



 

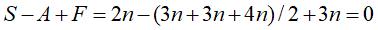
Si l'on désigne par courbure d'un sommet le nombre 360° moins la somme des angles des faces y aboutissant, on montre que la somme des courbures des sommets est égale à 360° fois la caractéristique d'Euler-Poincaré de la surface du polyèdre.
Un polyèdre plat doit donc avoir une caractéristique d'Euler-Poincaré nulle, et ne peut donc qu'être toroïdal.
On a bien ici .
 
 
Le tore plat d'ordre 5 n'est pas un vrai polyèdre car les faces se croisent, mais possède une certaine esthétique.

 
 

En effectuant une rotation de la partie supérieure et en triangulant les faces latérale on obtient un polyèdre qui reste plat (idée d'Alain Esculier).


 
 
 
polyèdre suivant polyèdre précédent courbes 2D courbes 3D surfaces fractals polyèdres

© Robert FERRÉOL  Alain ESCULIER 2025