| next surface | previous surface | 2D curves | 3D curves | surfaces | fractals | polyhedra |
CLIFFORD'S TORUS
| William Clifford (1845 - 1879): British mathematician. |
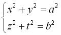
| System of Cartesian equations: Cartesian parametrization: Algebraictranslation surface of degree 4 of R4. |
Like the Bohemian dome,
Clifford's
torus is the surface generated by the translation of a circle along
another circle, but here, the two circles are in directly orthogonal planes
in .
It can also be seen as the Cartesian product of two circles;
it is therefore one of the representations of the topological torus.
It is a Riemannian manifold of dimension 2 the Gauss
curvature of which is zero, which is why it is also called "flat torus".
It is included in a 3-dimensional
sphere of
with radius
.
Its affine projections in R3
are homeomorphic to the Bohemian dome (and therefore have a self-intersection
curve), while its stereographic projections in R3
are the Dupin cyclides
(including the usual tori)??? (cf. banchoff)
It can be generalized to the n-dimensional Clifford's
torus, embedded in
parametrized by
.,
which is a representation of the n-dimensional
torus.
| next surface | previous surface | 2D curves | 3D curves | surfaces | fractals | polyhedra |
© Robert FERRÉOL 2017