next surface previous surface 2D curves 3D curves surfaces fractals polyhedra

SMOOTH SURFACE


The surface with Cartesian equation  is smooth in the real (resp. complex) affine plane if the system of equations  has no real (resp. complex) solution.
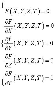
For an algebraic surface of degree n, with , the surface is smooth in the real (resp. complex) projective plane if the system of equations  has no real (resp. complex) solution other than (0, 0, 0).

A surface is said to be smooth if it does not have singular points, in other words, if it has a (unique) tangent plane at every point.

For this we need to clarify if the surface is considered from a real affine, a real projective, or a complex projective point of view, the conditions becoming stronger and stronger.

Examples:
   - smooth surface of degree n (in the latter sense): the Lamé surface with Cartesian equation  .
   - smooth surface from an affine point of view, but not a projective one: a cylinder based on a curve having the same property.
    - a surface with equation z = f(x, y) (with f of class C1) is always smooth in the affine point of view.
    - a cone (different from a plane), or Whitney's umbrella are not smooth.
    - a quadric is smooth in the complex projective space if and only if it is non degenerate (iff it is projectively equivalent to the surface ).
     - a cubic surface is smooth iff????
 
 
next surface previous surface 2D curves 3D curves surfaces fractals polyhedra

© Robert FERRÉOL  2017