| next surface | previous surface | 2D curves | 3D curves | surfaces | fractals | polyhedra |
TITEICA SURFACE
| Surface studied by Titeica in 1907.
Gheorghe Titeica (1873 - 1939): Romanian mathematician. See: http://www.emis.de/journals/BJGA/10.1/bt-sogh.pdf |
| Condition for a surface to be a Titeica surface (Monge
notations): |
A Titeica surface is a surface such that the Gaussian curvature at a point M is proportional to the fourth power of the distance from the tangent plane at M to a fixed point O, called the center.
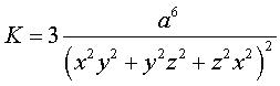
An example is the following cubic surface:

| Cartesian equation: Cubic surface. Gaussian curvature: Distance from O to the tangent plane: |
See here another
characteristic property of this surface.
| next surface | previous surface | 2D curves | 3D curves | surfaces | fractals | polyhedra |
© Robert FERRÉOL
2017