surface suivante surface précédente courbes 2D courbes 3D surfaces fractals polyèdres

SEXTIQUE DE BARTH
Barth sextic, Barthsche Sextik


Surface étudiée par Barth en 1994.
Wolf Barth : mathématicien allemand.
Pour des exemples de surfaces ayant un maximum de points singuliers ordinaires mathworld.wolfram.com/OrdinaryDoublePoint.html
Animation : youtube.com

 
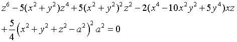
Équation cartésienne :  où  (nombre d'or) et  ;
est l'équation de la réunion des 6 plans contenant les arêtes d'un icosidodécaèdre (cf. figures de droite).
Surface sextique.
Équation cartésienne dans un repère où l'un des plans est le plan z = 0, et un autre, le plan z = 2x

La sextique de Barth est la surface d'équation ci-dessus ; sa caractéristique essentielle est de posséder 65 points singuliers réels ordinaires (i. e. non dégénérés), nombre maximal pour une surface sextique ; seuls 50 sont à distance finie, les 15 autres étant à l'infini.
 
La surface est composée de 20 petits "tétraèdres" "posés" sur les 20 faces triangulaires d'un icosidodécaèdre ; 3 sommets de chaque tétraèdre sont reliés à un autre tétraèdre (ce qui fait 20.3/2= 30 points singuliers) et l'autre sommet est relié à une nappe infinie (ce qui fait 20 autres points singuliers).

Ayant les symétries du dodécaèdre, c'est une surface dodécaédrique de Goursat.

Elle est au degré 6, ce qu'est la quartique de Kummer pour le degré 4, ou la quintique de Togliatti pour le degré 5.
 
 

Sextique de Barth par Patrice Jeener

Surface de Barth par Alain Esculier.
Sont figurés les 50 points singuliers à distance finie et les quatre cercles intersections avec les 6 plans pi=0, qi=0, ri=0, et tracés sur la sphère x²+y²+y² = a², projection sphérique des arêtes d'un icosidodécaèdre.


 
surface suivante surface précédente courbes 2D courbes 3D surfaces fractals polyèdres

© Robert FERRÉOL  2011