| surface suivante | surface précédente | courbes 2D | courbes 3D | surfaces | fractals | polyèdres |
SURFACE DE BOUR
Bour surface,
Boursche Fläche



| Edmond Bour (1832 -1866) : mathématicien français.
Surface étudiée en 1861 par Bour. |
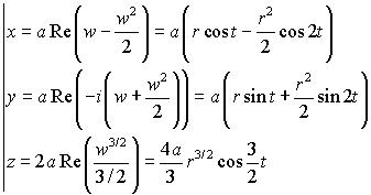
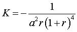
| Paramétrisation cartésienne : Surface algébrique rationnelle de degré 16. Première forme quadratique fondamentale : Élément d’aire : Courbure totale : Courbure moyenne nulle (surface minimale). |
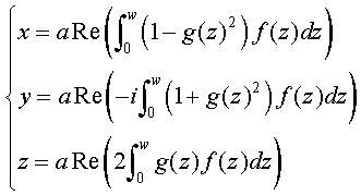
La surface de Bour est la surface
minimale obtenue en prenant
dans la paramétrisation de Weierstrass d'une surface
minimale :
.
C'est un cas particulier de surface
d'Enneper généralisée.
| Les projections sur xOy des lignes r = cte sont des hypotrochoïdes à 3 branches. | Comparer avec un demi-cône sinusoïdal : |
![]() |
![]() |
| surface suivante | surface précédente | courbes 2D | courbes 3D | surfaces | fractals | polyèdres |
© Robert FERRÉOL
2011