| surface suivante | surface précédente | courbes 2D | courbes 3D | surfaces | fractals | polyèdres |
CYLINDRE HYPERBOLIQUE
Hyperbolic
cylinder,
hyperbolischer Zylinder

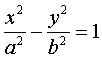
| Équation cartésienne : Quadrique développable. |
Les cylindres hyperboliques sont les cylindres
de directrice une hyperbole.
| surface suivante | surface précédente | courbes 2D | courbes 3D | surfaces | fractals | polyèdres |
© Robert FERRÉOL 2001