| next curve | previous curve | 2D curves | 3D curves | surfaces | fractals | polyhedra |
SIMPLE FOLIUM

| Curve studied by Kepler in 1609 and Viviani in 1647.
Other names: ovoid, or Kepler egg. |
Despite appearances to the contrary, there is a (vertical) tangent at O; On the other hand, the radius of curvature is zero whereas it is not at the other end, cf the egg and its evolute below.
|
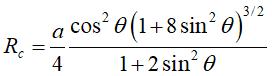
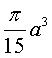
Polar equation: Cartesian equation: Rational Cartesian parametrization: Rational circular quartic. Radius of curvature: Length: Area: Volume of the solid of revolution (that can be called Kepler ovoid) obtained by rotating the folium around its axis: Lateral area: |
| Given a circle (C) with diameter [O A], and a variable point P describing (C), the simple folium is the locus of the projection M on (D) of the projection Q on (OA) of P. |
![]() |
| The simple folium is the pedal
of the deltoid with respect to one
of its cuspidal points;
it is therefore a special case of bifolium and of right folium, the other being the regular bifolium. |
![]() |
| It is also the inverse of the duplicatrix cubic with respect to its isolated point. |
![]() |
Compare to the double
egg (
instead of
)
and see other eggs at ovoid.
| next curve | previous curve | 2D curves | 3D curves | surfaces | fractals | polyhedra |
© Robert FERRÉOL 2017