| courbe suivante | courbe précédente | courbes 2D | courbes 3D | surfaces | fractals | polyèdres |
BOUCHE
Kiss
curve

| Nom Maison ; on peut préciser : bouche en coeur, bouche en cul de poule ! |
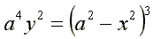
| Paramétrisation cartésienne : Équation cartésienne : Sextique rationnelle. |
| La rotation de cette courbe autour de Oz, avec
une affinité de rapport 1/2, donne une soucoupe
volante, parfois dénommée soucoupoïde...
Paramétrisation : |
![]() |
| L'image par une affinité de rapport 1/2 |
Néphroïde (en bleu) et son inverse. |
Voir aussi la bouche
au coeur.
| courbe suivante | courbe précédente | courbes 2D | courbes 3D | surfaces | fractals | polyèdres |
© Robert FERRÉOL
2020