courbe suivante courbe précédente courbes 2D courbes 3D surfaces fractals polyèdres

HYPERBOLISME ET ANTIHYPERBOLISME D'UNE COURBE
TRANSFORMATION DE NEWTON
Hyperbolism and antihyperbolism of a curve, Hyperbolismus und Antihyperbolismus einer Kurve
Newton's transformation, Newtonsche Transformation


Notion étudiée par Newton.

 
équation cartésienne paramétrisation cartésienne
courbe de départ
hyperbolisme par rapport à O et la droite x = a
antihyperbolisme

 
L'hyperbolisme d'une courbe  par rapport à un point O et une droite (D) est la courbe  lieu du point M défini comme suit : (M0) étant un point de , la droite (OM0) coupe (D) en P ; M est le projeté de P sur la parallèle à (D) passant par M0.

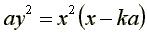
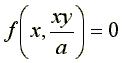
Analytiquement, la droite (D) étant x = a, la transformation de  vers  s'écrit; elle est quadratique, donc transforme une courbe algébrique de degré n en une courbe algébrique de degré  2n.

Pour la transformation inverse : , on parle d'antihyperbolisme.
Exemples :
 
antihyperbolisme O et (D)  (pour la courbe de départ) O et (D)  (pour la courbe d'arrivée) hyperbolisme
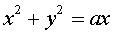
cercle O sur le cercle, (D)   tangente au cercle opposée à O O au "milieu" de l'asymptote et (D)  tangente sommitale cubique d'Agnesi
cercle O centre du cercle, (D) tangente au cercle O au centre et (D) tangente sommitale quartique de Külp
cercle (D) perpendiculaire à la droite joignant O au centre du cercle
(cas englobant les précédents)
  Oeuf de Granville
cercle O sur le cercle, (D)  parallèle au diamètre passant par O O au centre et (D) passant par les points d'intersection avec le cercle anguinée
lemniscate de Gérono (à une affinité près) O au centre, (D) tangente à un sommet O au centre, (D) tangente au cercle cercle
quartique piriforme O au rebroussement, (D) perpendiculaire à l'axe de symétrie O sur le cercle, (D)  parallèle à la tangente au cercle en ce point cercle
parabole divergente rationnelle :  O au centre, (D) : x = a O au centre et (D) : x = a parabole : 
parabole cubique  O et droite x = a O et droite x = a trident
visiera : O et droite x = a O et droite x = a versiera

Si l'on remplace la droite (D) par une courbe quelconque, on obtient plus généralement la transformation de Newton :
 
La transformée de Newton d'un couple de courbes () par rapport à un repère Oxy  est la courbe  lieu du point M défini comme suit : une droite (D) passant par O coupe  en P et  en Q ; M est le point d'intersection de la parallèle à Ox passant par P et de la parallèle à Oy passant par Q.
On retrouve l'hyperbolisme en prenant pour une droite parallèle à Oy.

 
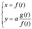
Paramétrisation cartésienne de la transformée de Newton des courbes  et  par rapport à Oxy.

Exemples :
 
première courbe (G1) deuxième courbe (G2) transformée
cercle de centre O cercle de centre O ellipse (obtenue par "réduction d'ordonnée")
cercle centré sur Ox passant par cercle de centre courbe en huit , dilatée d'une lemniscate de Gerono (non dilatée quand a = b, soit quand les cercles sont tangents).
échange des cercles précédents   arc de parabole
cercle centré sur Ox cercle de centre O oeuf de Hügelschäffer

 
 
courbe suivante courbe précédente courbes 2D courbes 3D surfaces fractals polyèdres

© Robert FERRÉOL 2009