| courbe suivante | courbe précédente | courbes 2D | courbes 3D | surfaces | fractals | polyèdres |

| Courbe étudiée par Cotes et Maclaurin en
1722.
Lituus (mot latin) : bâton des augures romains, ressemblant à la crosse des évêques actuelle. ![]() |
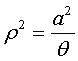
| Équation polaire : Abscisse curviligne : Rayon de courbure : Courbe transcendante. |
![]() |
Le lituus est le lieu du point M d'un cercle variable centré en O coupant l'axe Ox en A tel que l’aire du secteur circulaire OAM soit constante égale à a2/2.
Le point d'inflexion est obtenu pour q = 0,5 radians, soit près de 30°.
Le lituus est l'inverse de centre O de la spirale de Fermat et la radiale de la clothoïde.
On le retrouve dans les volutes des chapiteaux ioniques :

| courbe suivante | courbe précédente | courbes 2D | courbes 3D | surfaces | fractals | polyèdres |
© Robert FERRÉOL 2017