| courbe suivante | courbe précédente | courbes 2D | courbes 3D | surfaces | fractals | polyèdres |
COURBE PSEUDO-CYCLOÏDALE, PARACYCLOÏDE, HYPERCYCLOÏDE
Pseudocycloidal
curve, paracycloid, hypercycloid, Pseudozykloidale Kurve, Parazykloid,
Hyperzykloid
| Courbes étudiées par Euler en 1750 et 1783, Césaro en 1887. |
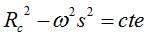
Les courbes pseudo-cycloïdales sont les courbes vérifiant
une équation intrinsèque
du type ,
par analogie avec les courbes
cycloïdales, qui vérifient, elles :
.
Autrement dit, ce sont les courbes, qui, roulant sans glisser sur une droite
ont leur centre de courbure décrivant une hyperbole dont un axe
est parallèle à la droite (voir à courbe
de Mannheim).
Il y a deux cas, suivant le signe de la cte ci-dessus.
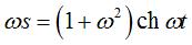
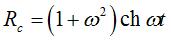
Premier cas, cte <0 : PARACYCLOÏDE
| Paramétrisation cartésienne : Rayon polaire : Angle tangentiel cartésien : Abscisse curviligne : Rayon de courbure : Equation intrinsèque 1 : |
![]() |
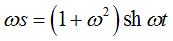
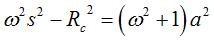
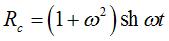
Deuxième cas, cte >0 : HYPERCYCLOÏDE (attention,
le terme hypercycloïde est aussi utilisé à la place
d'épicycloïde)
| Paramétrisation cartésienne : Rayon polaire : Angle tangentiel cartésien : Abscisse curviligne : Rayon de courbure : Equation intrinsèque 1 : |
![]() |
REMARQUE : la paracycloïde est l'antipodaire
de la spirale du sinus hyperbolique ,
et l'hypercycloïde est l'antipodaire de la spirale du cosinus hyperbolique
.
De plus, elles sont développée
l'une de l'autre.
Voir les géodésiques
du paraboloïde, qui sont des relèvement d'hypercycloïde.
| courbe suivante | courbe précédente | courbes 2D | courbes 3D | surfaces | fractals | polyèdres |
© Robert FERRÉOL 2018