courbe suivante courbe précédente courbes 2D courbes 3D surfaces fractals polyèdres

ENVELOPPE D'UNE FAMILLE DE COURBES 3D
Envelope of a family of 3D curves, Hüllkurve einer Familie 3D Kurven


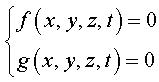
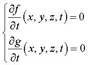
Si (Gt) est donnée sous la forme  (1) : ,  l'enveloppe existe si et seulement si le système de 4 équations à 3 inconnues résultant de la conjonction de (1) et de (2) :  possède une solution en (x, y ,z) pour toute valeur de t. Cette solution donne la paramétrisation de l'enveloppe.
 

Si (Gt) est définie paramétriquement par (M(t,u))u, la valeur en fonction de t du paramètre u du point caractéristique s'obtient en résolvant  (la condition d'existence de l'enveloppe étant l'indétermination de ce système de 3 équations à deux inconnues).

L'enveloppe d'une famille de courbes à un paramètre  est le lieu (G) des points caractéristiques des courbes Gt, points limites quand t' tend vers t des points d'intersection de (Gt) avec (Gt') ; ces points n'existent donc que si la courbe la courbe (Gt) est sécante avec les courbes infiniment voisines (Gt+dt) ; (G) est alors tangente en chacun de ses points à une courbe (Gt) et "en général", toute courbe Gt est tangente en au moins un point à (G).

Lorsque les courbes (Gt) sont des droites, l'enveloppe existe si et seulement si la surface réglée engendrée par les (Gt) est développable et l'enveloppe est l'arête de rebroussement de cette développable.

Voir aussi les enveloppes de surfaces.
 
courbe suivante courbe précédente courbes 2D courbes 3D surfaces fractals polyèdres

© Robert FERRÉOL 2003