next surface previous surface 2D curves 3D curves surfaces fractals polyhedra

TRINOID, n-NOID



binoid, or catenoid

trinoid


 

quadrinoid


 
Surface studied by Jorge and Meeks in 1983.
The name is based on the prefix tri- and the suffix noid, that comes from catenoid.

 
Parametrization of the trinoid:
[-1/9*(-3*exp(2*u)-3*exp(u)*cos(v)3*exp(3*u)*cos(v)+8*ln(2*exp(u)*cos(v)+ 1+exp(2*u))*exp(2*u)*cos(v)^2+4*ln(-2*exp(u)*cos(v)+ 1+exp(2*u))*exp(u)*cos(v)- 4*ln(4*exp(2*u)*cos(v)^2+ exp(4*u)+ 2*exp(3*u)*cos(v)-exp(2*u) +2*exp(u)*cos(v)+1)*exp(2*u)*cos(v)^2 +2*ln(-2*exp(u)*cos(v)+1+exp(2*u))-ln(4*exp(2*u)*cos(v)^2+exp(4*u)+2*exp(3*u)*cos(v)-exp(2*u)+2*exp(u)*cos(v)+1)-2*ln(4*exp(2*u)*cos(v)^2+exp(4*u)+2*exp(3*u)*cos(v)-exp(2*u)+ 2*exp(u)*cos(v)+1)*exp(u)*cos(v)+ 4*ln(-2*exp(u)*cos(v)+1+exp(2*u))*exp(3*u)*cos(v)-2*ln(4*exp(2*u)*cos(v)^2+exp(4*u)+ 2*exp(3*u)*cos(v)-exp(2*u)+ 2*exp(u)*cos(v)+1)*exp(3*u)*cos(v)- 2*ln(-2*exp(u)*cos(v)+1+exp(2*u))*exp(2*u)+ 2*ln(-2*exp(u)*cos(v)+ 1+ exp(2*u))*exp(4*u)+ ln(4*exp(2*u)*cos(v)^2+ exp(4*u)+ 2*exp(3*u)*cos(v)- exp(2*u)+2*exp(u)*cos(v)+1)*exp(2*u)-ln(4*exp(2*u)*cos(v)^2+ exp(4*u)+ 2*exp(3*u)*cos(v)-exp(2*u)+ 2*exp(u)*cos(v)+1)*exp(4*u))/(4*exp(2*u)*cos(v)^2+ exp(4*u)+ 2*exp(3*u)*cos(v)-exp(2*u)+2*exp(u)*cos(v)+1), 
1/9*(3^(1/2)*ln((3^(1/2)*exp(u)*sin(v)+ exp(u)*cos(v)+1+ exp(2*u))/(exp(u)*cos(v)+1+ exp(2*u)-3^(1/2)*exp(u)*sin(v)))+ 6*exp(2*u)*cos(v)*sin(v)+3*exp(u)*sin(v)-8*3^(1/2)*ln((3^(1/2)*exp(u)*sin(v)+ exp(u)*cos(v)+1+exp(2*u))/(exp(u)*cos(v)+1+exp(2*u)-3^(1/2)*exp(u)*sin(v)))*exp(3*u)*cos(v)^3+3*exp(5*u)*sin(v)+3^(1/2)*ln((3^(1/2)*exp(u)*sin(v)+exp(u)*cos(v)+1+exp(2*u))/(exp(u)*cos(v)+1+exp(2*u)-3^(1/2)*exp(u)*sin(v)))*exp(6*u)+ 6*3^(1/2)*ln((3^(1/2)*exp(u)*sin(v)+ exp(u)*cos(v)+1+ exp(2*u))/(exp(u)*cos(v)+1+exp(2*u)-3^(1/2)*exp(u)*sin(v)))*exp(3*u)*cos(v)+ 6*exp(4*u)*cos(v)*sin(v))/(1+exp(6*u)+6*exp(3*u)*cos(v)-8*exp(3*u)*cos(v)^3), 
2/3*exp(3*u)*(4*cos(v)^3-3*cos(v)-exp(3*u))/(1+exp(6*u)+6*exp(3*u)*cos(v)-8*exp(3*u)*cos(v)^3)]

The trinoid, and more generally, the n-noids are minimal surfaces with rotational symmetry of order n and n infinite sheets of the kind of those of the catenoid (and what could be called binoid is in fact none other than the catenoid).
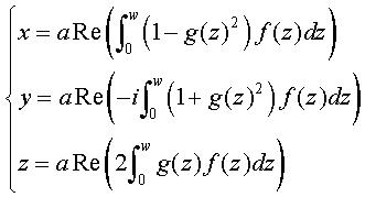
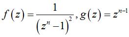
They are obtained by taking  (and then ) in the Weierstrass parametrization of a minimal surface.


Series of n = 2,3,4,5-noids, with petal-like boundaries, by Alain Esculier.

These surfaces can be generalized into the surfaces with constant mean curvature (not necessarily equal to zero) having an order n symmetry, see for example here.
 
 
next surface previous surface 2D curves 3D curves surfaces fractals polyhedra

© Robert FERRÉOL  2017